This tutorial will look at the difference between combinations and permutations without replacement and how to calculate these. This post expands on concepts learned from the Emma’s Dilemma permutations tutorial. In Emma’s Dilemma we focussed only on the total arrangement there are of different words. Here we will look at the total combinations or permutation there are when a sample is chosen from a set. For example when three people’s names are pulled out of a hat containing 10 names.
The factorial function will be frequently used in this tutorial therefore it is important to understand how to use it first. (See Emma’s Dilemma)
Combination (unordered sampling without replacement)
Combination is when a sample is taken but the order that it was taken is not relevant.
In this example we look at how many different ways there are for selecting two coloured balls out of a pot containing 7 balls without replacement. We will give each colour a letter R, B, G, Y, P, V, O. As you can see below there are a total of 21 possibilities.
| R | B | G | Y | P | V |
| RB | BG | GY | YP | PV | VO |
| RG | BY | GP | YV | PO | |
| RY | BP | GO | |||
| RP | BV | ||||
| RO | BO |
Formula
The formula is as follows:
![]()
Where n is the total number of different balls and r is number of balls selected.
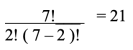
Solution
The mathematical solution to calculate combinations is as follows:

Permutation (ordered sampling without replacement)
Permutation is when a sample is taken but the order that it was taken is relevant.
In this example we look at how many different ways there are for selecting two coloured balls out of a pot containing 7 balls without replacement where the order is relevant. We will give each colour a letter R, B, G, Y, P, V, O. As you can see below there are a total of 42 possibilities.
| R | B | G | Y | P | V | O |
| RB | BR | GR | YR | PR | VR | OR |
| RG | BG | GB | YB | PB | VB | OB |
| RY | BY | GY | YG | PG | VG | OG |
| RP | BP | GP | YP | PY | VY | OY |
| RV | BV | GV | YV | PV | VP | OP |
| RO | BO | GO | YO | PO | VO | OV |
Formula
The formula is as follows:

Where n is the total number of different balls and r is number of balls selected.
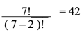
Solution
The mathematical solution to calculate the permutations is as follows:

Conclusion
As we have illustrated above the difference between combinations and permutations is that the order does not matter for permutations you are able to use the same colours in different orders. In combinations however you are not allowed to repeat the same balls in different orders. e.g. if you have a red ball and green ball for combinations there is only one arrangement (Red, Green) but for permutations there are two arrangements (Red, Green) and (Green, Red).
Thank you for sharing.
Best wishes
LikeLike
😊
LikeLike
Thanks for sharing
LikeLike
Thank you
LikeLike
Wow!
LikeLike
You have a fascinating blog. I read it twice.
LikeLiked by 1 person
Thank you
LikeLike