In this scenario we look at two names EMMA and LUCY, we want to find out all the possible arrangements the letters of their name can be used to make this is known as permutations. We will also learn to use a formula that will help calculate how many different combinations there are without having to write them down manually this is especially useful if there are 100’s of possibilities.
The factorial function will be frequently used in this tutorial therefore it is important to understand how to use it first.
Factorial
Factorial is a function denoted by the symbol ‘!’ (exclamation mark). In this function for any positive whole number (integer) preceding the explanation mark you will need to calculate the product of that integer and every integer below it excluding 0. For example 5! = 5 x 4 x 3 x 2 x 1 = 120.
Permutation (Basic) with Unique Letters
In this example we look at how many different arrangements there are for Lucy’s name. As you can see below there are a total of 24 combinations, 6 for each letter.

Formula
The formula for this is simply n! where n is the number of letters. This formula will only work for names that do not have repeating letters.
Solution
The mathematical solution to calculate the permutations of Lucy’s name is 4! which totals 24 (4 x 3 x 2 x 1) and matches our solution above.
Permutation (Advanced) with Repeating Letters
For this example we look at how many different arrangements there are for Emma’s name. As you can see below there are a total of 12 combinations.

Formula
The formula for this as follows:
![]()
Where n is the number of letters and a, b and c represents how many of each letter there are. For example with EMMA if a represents E, b represents M and c represents A then a = 1, b = 2 and c = 1. a and c equal 1 as there are only one letter for these and b is 2 as there is two M’s.
Tip: In the denominator you only need to include the factorials that are greater than 1 for simplicity. Therefore for EMMA you can simply ignore and c so you only need to divide by 2!
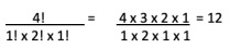
Solution
The mathematical solution to calculate the permutations of EMMA’s name is as follows:
![]()
Challenge
Are you able to use the knowledge you have just gained to solve the number of permutations there are for the word MATHEMATICS. Please post your solutions in the comments below.
4,989,600
LikeLiked by 1 person
spot on!
LikeLike
Didn’t you want to explain the reasoning behind the formula.
LikeLike
This is a beginner’s guide. Proofs are not covered at this level
LikeLiked by 1 person
I am so terrible at math that I hate it. But I love the direction you’re going simplifying things:)
LikeLike
I love doing math when a formula is in place. However it gives me a headache trying to figure out what formula needs to be used.
This will be a great resource for my son and daughter. Thank you!
LikeLike
Superb blog you have here but I was curious about if you knew of any user discussion forums that cover the same topics talked about in this article? I’d really love to be a part of group where I can get feed-back from other knowledgeable people that share the same interest. If you have any suggestions, please let me know. Cheers!|
LikeLike